Mathematical Proof for God's Existence

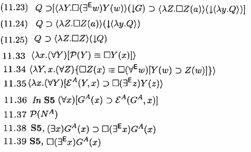
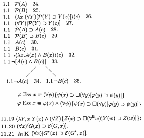
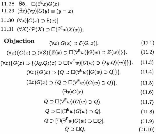
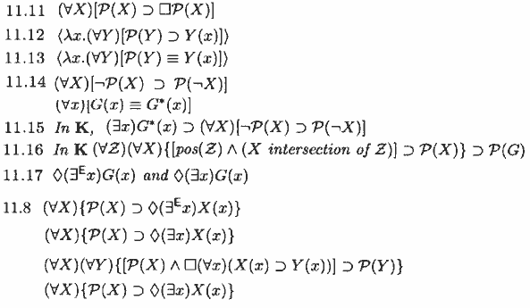
Proof is from the book "Types, Tableaus and Godel's God" by Professor Melvin Fitting. In this page descriptions of formulas are removed from the proof due to copyright considerations. Maintainer of this site intends to show how the proof looks like. Here only logic formulas are presented. If it is hard to understand then buy the book. It is 172 pages with enough descriptions to make it easy to follow the formulas.

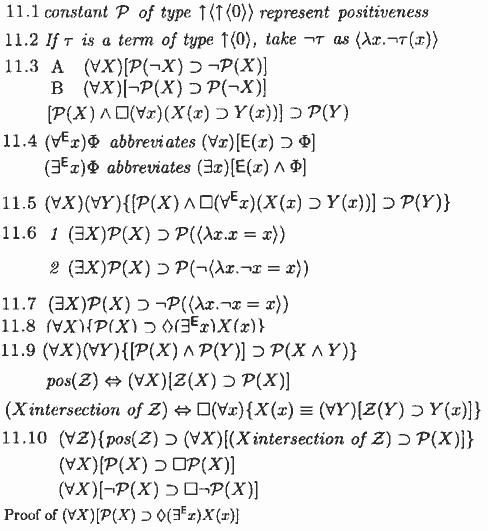
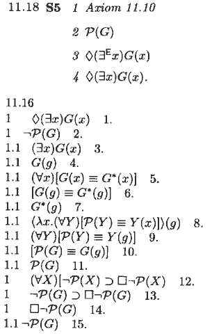
Page 1 of 14

Page 2 of 14

Page 3 of 14

Page 4 of 14

Page 5 of 14

Page 6 of 14

Page 7 of 14

Page 8 of 14

Page 9 of 14

Page 10 of 14

Page 11 of 14

Page 12 of 14

Page 13 of 14

Page 14 of 14

1